Son dakika İzmir haberleri... İzmir'de "Türkiye'ye örnek olacak kentsel dönüşüm modeli" olarak sunulan kooperatif projeleriyle ilgili yürütülen yolsuzluk soruşturmaları devam ederken, kamuoyunu sarsacak yeni iddialar gündeme geldi.

Aralarında İzmir Büyükşehir Belediyesi eski Başkanı Tunç Soyer ile CHP İzmir eski İl Başkanı Şenol Aslanoğlu ve bazı kooperatif yöneticilerinin de bulunduğu tutuklamalarla derinleşen dosyada, talanın ucu CHP'li vekillere uzandı. Aslanoğlu'nun ekibinin kurduğu S.S. İş Alemi Yeni Yaşam Konut Yapı Kooperatifi'nin yönetimini devralan yeni ekip, kooperatif işleri için alınan ancak kendilerine bozuk ve kırık şekilde teslim edilen cep telefonunu tamir ettirdiklerinde şok belgelere ulaştı.

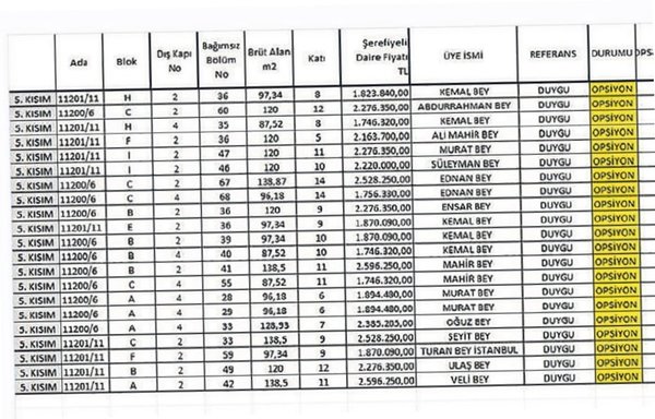
14 KİŞİLİK İSİM LİSTESİ
Kırık cep telefonundan, soyisimleri yazılmayan ancak Kemal Bey, Ali Mahir Bey, Ednan Bey, Mahir Bey, Ensar Bey, Murat Bey, Veli Bey, Oğuz Bey, Seyit Bey gibi, eski CHP lideri Kemal Kılıçdaroğlu ve çekirdek ekibinde yer alan milletvekilleri ile bire bir benzerlik gösteren 14 kişilik isim listesi ortaya çıktı.

Listedeki isimlere, Aslanoğlu'nun eşi Duygu Aslanoğlu olduğu tahmin edilen kişinin referansı ile manzarası ve konumuna göre dairelerin önceden opsiyonlandığı tespit edildi. Duruma tepki gösteren kooperatif üyeleri, bölgedeki dar gelirli hak sahiplerinin uygun koşullarda ev sahibi olması için başlatılan projenin listedeki CHP'li üst düzey yöneticilere peşkeş çekildiğini iddia etti.

Yeni Asır'ın edindiği bilgilere göre; Şenol Aslanoğlu'nun ekibinin oluşturduğu S.S. İş Alemi Yeni Yaşam Konut Yapı Kooperatif yönetimi, başlatılan yolsuzluk soruşturmaları sonrası üyelerin aldığı kararla görevden alındı ve olağanüstü genel kurul ile yerlerine yeni bir yönetim oluşturuldu. Yeni yönetim, kooperatif işleri kapsamında kullanıldığı belirtilen bir cep telefonunun eski yöneticilerden teslim edilmesini istedi.

Teslim edilen telefonun eski, kırık ve çalışmaz durumda olduğu ancak yeni yönetimin tamir ettirmesinin ardından cihazın içindeki ilginç dosyalara ulaşıldığı ileri sürüldü. Yeni yönetimin ulaştığı iddia edilen dosyada, CHP'de üst düzey görevlerde bulunan milletvekilleri ile benzerlik gösteren bazı isimlere kooperatifteki dairelerin önceden ayrıldığı ve bu kişilere 'hisse satışı' yapıldığına dair notların yer aldığı öne sürüldü. Listede, bu isimlerin soyadlarının yanına 'Bey' yazıldığı, dairelerinde 'Duygu' isimli bir kişi tarafından listede yer alanlara opsiyonlandığı ortaya çıktı.

Yeni Asır, tamir edilen telefonda bulunan ve CHP'nin önde gelen isimleriyle birebir uyuşan isim listesini yayınlıyor. Listedeki isimlere, Aslanoğlu'nun eşi Duygu Aslanoğlu olduğu tahmin edilen kişinin referansı ile dairelerin önceden tahsis edildiği düşünülüyor.

Heval Savaş Kaya
CHP'LİLERE PEŞKEŞ ÇEKİLMİŞ
Uzundere 3. Etap kooperatifine ait olduğu öne sürülen ve tutuklu olan İZBETON eski Genel Müdürü Heval Savaş Kaya'nın konut sahibi olduğu 11201 ada 11 parsel ile 11200 ada 6 parselde CHP'de üst düzey olduğu öne sürülen isimlere de daireler ayrıldığı iddia edildi. Kırık telefondaki listeden çıkan 14 ismin, Kemal Bey, Abdurrahman Bey, Ali Mahir Bey, Murat Bey, Süleyman Bey, Ednan Bey, Ensar Bey, Kemal Bey, Mahir Bey, Murat Bey, Oğuz Bey, Seyit Bey, Turan Bey, Ulaş Bey ve Veli Bey şeklinde kaydedildiği öğrenildi. İddiaya göre bu isimlerin ise CHP'nin eski lideri Kemal Kılıçdaroğlu ve daha önce çekirdek kadrosunda yer alan Abdurrahman Tutdere, Ali Mahir Başarır, Süleyman Bülbül, Ednan Arslan, Ensar Aytekin, Mahir Polat, Murat Emir, Murat Bakan, Oğuz Kaan Salıcı, Seyit Torun, Turan Taşkın Özer, Ulaş Karasu ve Veli Ağbaba gibi isimler olabileceği tahmin edildi.

Bu isimlere referans gösterilerek daireleri opsiyonlayan ve listede ismi 'Duygu' olarak geçen kişinin ise daha önce kooperatif yönetiminde yer alan CHP İzmir eski İl Başkanı Şenol Aslanoğlu'nun eşi Duygu Aslanoğlu olduğu öne sürüldü. Kooperatif üyeleri, bu belgenin bölgedeki dar gelirli hak sahiplerinin uygun koşullarda ev sahibi olması için başlatılan projenin CHP'li üst düzey yöneticilere peşkeş çekildiğinin göstergesi olduğunu iddia etti.