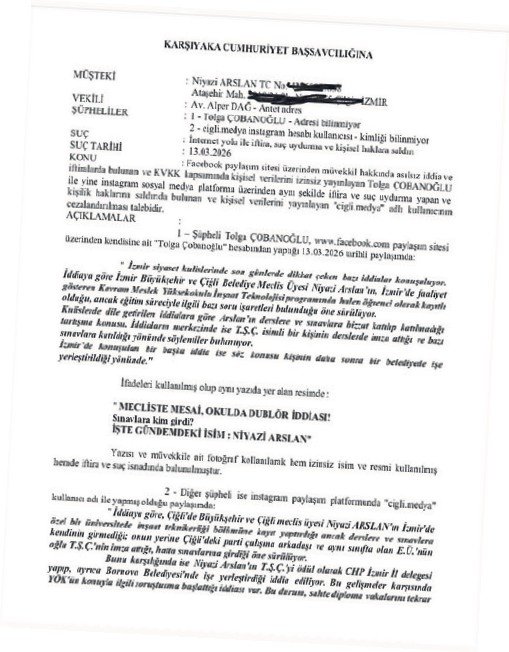
Son dakika İzmir haberleri... CHP İstanbul İl Başkanlığı görevine mahkeme kararıyla atanan Gürsel Tekin'in eski başdanışmanı olan ve partinin farklı kademelerinde görev alıp, köşe yazarlığı da yapan Tolga Çobanoğlu'nun sosyal medya hesabında dile getirdiği iddialar sonrası patlak veren olayda, Niyazi Arslan'ın bilinmeyen bir nedenle bu yıl üniversite kaydını yenilemediği ortaya çıktı.

Diploma almak için 2 yıllık özel bir üniversitenin İnşaat Teknolojisi bölümüne kaydolup bazı ders ve sınavlara bizzat katılmak yerine, arkadaşının oğlu T.Ş.Ç'yi kendi yerine gönderdiği ve ödül olarak da bu kişiyi Bornova Belediyesi'nde işe soktuğu öne sürülen Arslan'ın, özel üniversitede 2025-2026 eğitim öğretim yılında herhangi bir ders kaydı yapmadığı, bu nedenle de halen kaydını yenilemeyen öğrenci olarak gözüktüğü tespit edildi.

ARKADAŞINI GÖNDERDİ
Arslan'ın, hakkındaki usulsüzlük iddiaları nedeni ile CHP genel merkezinin de tepkisini çektiği öne sürüldü. Siyasi kariyerini etkileyen iddialar nedeni ile belediyelerdeki görevleri de tehlikeye giren Arslan'ın Nisan ayında yapılan belediye meclislerinde yapılan encümen ve ihtisas komisyonu üyeliği seçimlerinde üstünün çizildiği ve bu nedenle tekrar aday gösterilmediği iddia edildi.

Arslan, Çobanoğlu'na 500 bin liralık tazminat davası açmış, Çobanoğlu ise 2009'da CHP'li Çiğli Belediyesi'nde temizlik personeli olarak işe başlayan ve akrabası Hasan Arslan'ın 2014-2019 yılları arasında Çiğli Belediye Başkanı olduğu dönemde hızlı şeklide yükselen Niyazi Arslan'ın mal varlığının MASAK tarafından incelenmesini talep ederek kendisine 5 kuruşluk karşı dava ile cevap vermişti.